NCC 2022 Volume One - Building Code of Australia Class 2 to 9 buildings
Classification
Building class 1a Building class 1b Building class 2 Building class 3 Building class 4 Building class 5 Building class 6 Building class 7a Building class 7b Building class 8 Building class 9a Building class 9b Building class 9c Building class 10a Building class 10b Building class 10c

Filter

Classification
Building class 1a Building class 1b Building class 2 Building class 3 Building class 4 Building class 5 Building class 6 Building class 7a Building class 7b Building class 8 Building class 9a Building class 9b Building class 9c Building class 10a Building class 10b Building class 10c

J2

Part J2 Energy efficiency

Part J2 Energy efficiency

Introduction to this Part

This Part sets out the application of the Deemed-to-Satisfy Provisions in Parts J3 to J9.

Notes

From 1 May 2023 to 30 September 2023 Section J of NCC 2019 Volume One Amendment 1 may apply instead of Section J of NCC 2022 Volume One. From 1 October 2023 Section J of NCC 2022 Volume One applies.

Notes: New South Wales Section J Energy Efficiency

  1. For a Class 2 building or a Class 4 part of a building, where a relevant development consent or an application for a complying development certificate requires compliance with a BASIX Single Dwelling or Multi Dwelling Certificate issued under Version 3.0 or earlier, NSW Section J of NCC 2019 Volume One Amendment 1 applies.
  2. For a Class 2 building or a Class 4 part of a building, where a relevant development consent or an application for a complying development certificate requires compliance with a BASIX Single Dwelling or Multi Dwelling Certificate issued under Version 4.0 or later, Section J of NCC 2022 Volume One applies.
  3. For a Class 2 building or a Class 4 part of a building, where a relevant development consent or an application for a complying development certificate requires compliance with a BASIX Alterations and Additions Certificate, NSW Section J of NCC 2019 Volume One Amendment 1 applies.
  4. For a Class 3 building or Class 5 to 9 building:
    1. From 1 May 2023 to 30 September 2023 NSW Section J of NCC 2019 Volume One Amendment 1 may apply instead of Section J of NCC 2022 Volume One.
    2. From 1 October 2023 Section J of NCC 2022 Volume One applies.

Notes: Tasmania Section J Energy Efficiency

In Tasmania, for a Class 2 building and Class 4 part of a building, Section J is replaced with Section J of BCA 2019 Amendment 1.

Deemed-to-Satisfy Provisions

(1) Where a Deemed-to-Satisfy Solution is proposed, Performance Requirements J1P1 to J1P4 are satisfied by complying with—

  1. J2D2; and
  2. J3D2 to J3D15; and
  3. J4D2 to J4D7; and
  4. J5D2 to J5D8; and
  5. J6D2 to J6D13; and
  6. J7D2 to J7D9; and
  7. J8D2 to J8D4; and
  8. J9D2 to J9D5.

NSW J2D1 Deemed-to-Satisfy Provisions2019: J0.0

Delete subclause J2D1(1) and insert J2D1(1) as follows:

(1) Where a Deemed-to-Satisfy Solution is proposed, Performance Requirements NSW J1P1 to NSW J1P7 are satisfied by complying with—

  1. NSW J2D2; and
  1. NSW J3D2 to J3D10; and
  2. NSW J4D2 to J4D7; and
  3. NSW J5D2 to J5D8; and
  4. NSW J6D2 to J6D13; and
  5. NSW J7D2 to J7D9; and
  6. J8D2 to NSW J8D4; and
  7. J9D2 to J9D5.

(2) Where a Performance Solution is proposed, the relevant Performance Requirements must be determined in accordance with A2G2(3) and A2G4(3) as applicable.

To clarify that J1P1 to J1P4 will be satisfied if compliance is achieved with Parts J2 to J9.

Where a solution is proposed to comply with the Deemed-to-Satisfy Provisions, J2D1 clarifies how compliance with Parts J2 to J9 achieves compliance with J1P1 to J1P4.

Where a Performance Solution is proposed, the relevant Performance Requirements must be determined in accordance with A2G2(3) and A2G4(3) as applicable. (See commentary on Part A2).

The Deemed-to-Satisfy Provisions, including those related to house energy rating software, described are limited to the most common forms of construction and the simplest forms of buildings. It is expected that the more innovative construction techniques and the more complex buildings will be designed and assessed using a performance approach.

A major consideration in developing the measures was the likelihood of a building being heated or cooled by an air- conditioning system, and whether the Deemed-to-Satisfy Provisions should assume this to be the case, or only apply the provisions if a heating or cooling system is installed. It is recognised that most Class 3, 5, 6 and 9 buildings and some Class 7 and 8 buildings are heated or cooled, and this is the basis of the provisions. Consideration was also given to the fact that although the first owner may be prepared to ‘manage’ their building in the appropriate manner, the next owner or tenant may not, and instead may install air-conditioning.

Because of the performance-based structure of the NCC, a Performance Solution may be proposed instead of the Deemed-to-Satisfy Provisions.

NCC Blurbs

(1) For a Class 3 and 5 to 9 building, Performance Requirement NSW J1P1 is satisfied by complying with—

  1. Part J4, for the building fabric; and
  2. Part J5, for building sealing; and
  3. Part J6, for air-conditioning and ventilation; and
  4. Part J7, for artificial lighting and power; and
  5. Part J8, for heated water supply and swimming pool and spa pool plant; and
  6. J9D3, for facilities for energy monitoring.

(2) For a sole-occupancy unit of a Class 2 building or a Class 4 part of a building, Performance Requirement NSW J1P5 is satisfied by complying with—

  1. J3D5 and J3D6, for thermal breaks; and
  2. J4D3, for general thermal construction; and
  3. J3D10(3), J3D10(5) and J3D10(6), for floor edge insulation.

(3) For a Class 2 building or a Class 4 part of a building, Performance Requirement NSW J1P6 is satisfied by complying with Part J5 for building sealing.

(4) For a Class 2 building or a Class 4 part of a building, Performance Requirement NSW J1P7 is satisfied by complying with—

  1. Part J6, for air-conditioning and ventilation; and
  2. J8D2, for heated water supply; and
  3. J9D3, for facilities for energy monitoring.

(5) For a Class 2 to 9 building, Performance Requirement NSW J1P4 is satisfied by complying with J9D4 and J9D5.

NCC Title
Application of Section J
NCC State
NSW
NCC Variation Type
Replacement
NCC SPTC Current
Application of Section J

(1) For a Class 2 to 9 building, other than a sole-occupancy unit of a Class 2 building or a Class 4 part of a building, Performance Requirement J1P1 is satisfied by complying with—

  1. Part J4, for the building fabric; and
  2. Part J5, for building sealing; and
  3. Part J6, for air-conditioning and ventilation; and
  4. Part J7, for artificial lighting and power; and
  5. Part J8, for heated water supply and swimming pool and spa pool plant; and
  6. J9D3, for facilities for energy monitoring.

(2) For a sole-occupancy unit of a Class 2 building or a Class 4 part of a building, Performance Requirement J1P2 is satisfied by complying with—

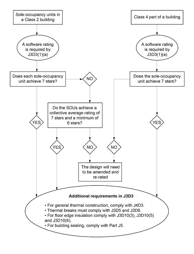
  1. J3D3, using house energy rating software; or
  2. the following—
    1. J3D4, for ceiling fans; and
    2. J3D5, J3D6, J4D3, J4D7(3), J4D7(4) and Part J5, for general thermal construction; and
    3. J3D7, for roofs; and
    4. J3D8 and J3D11 to J3D13, or J3D9, for walls and glazing; and
    5. J3D10, for floors.

(3) For a sole-occupancy unit of a Class 2 building or a Class 4 part of a building, Performance Requirement J1P3 is satisfied by complying with—

  1. for the net equivalent energy usage—
    1. J3D14, for a sole-occupancy unit of a Class 2 building or a Class 4 part of a building with a total floor area not greater than 500 m2; or
    2. J3D15, using house energy rating software; and
  2. Part J6, for air-conditioning and ventilation; and
  3. Part J7, for artificial lighting and power.

(4) For a Class 2 to 9 building, Performance Requirement J1P4 is satisfied by complying with J9D4 and J9D5.

To clarify which provisions of Section J apply to dwellings and which provisions apply to other buildings.

J2D2(1) explains which provisions need to be complied with for a Class 2 to 9 building (excluding sole-occupancy unit of a Class 2 building or a Class 4 part of a building) to comply with J1P1.

J2D2(2) explains which provisions need to be complied with for a sole-occupancy unit of a Class 2 building or a Class 4 part to comply with J1P2 and J1P3. This includes compliance by both DtS elemental provisions and by using house energy rating software.

J2D2(3) explains which provisions need to be complied with for a Class 2 to 9 building to demonstrate compliance with J1P4.

The means of compliance is explained in Figure J2D2.

Image
Flow chart of compliance with Section J