NCC 2022 Volume One - Building Code of Australia Class 2 to 9 buildings
Classification
Building class 1a Building class 1b Building class 2 Building class 3 Building class 4 Building class 5 Building class 6 Building class 7a Building class 7b Building class 8 Building class 9a Building class 9b Building class 9c Building class 10a Building class 10b Building class 10c

Filter

Classification
Building class 1a Building class 1b Building class 2 Building class 3 Building class 4 Building class 5 Building class 6 Building class 7a Building class 7b Building class 8 Building class 9a Building class 9b Building class 9c Building class 10a Building class 10b Building class 10c

F4

Part F4 Sanitary and other facilities

Part F4 Sanitary and other facilities

Introduction to this Part

This Part focuses on reducing risk of illness and loss of amenity due to inadequate toilets, bathrooms and laundries, on ensuring occupants in residential buildings have access to a kitchen, and on microbial control in air-conditioning and heated water systems.

Objectives

The Objective of this Part is to—

  1. safeguard occupants from illness caused by infection; and
  2. safeguard occupants from loss of amenity arising from the absence of adequate personal hygiene facilities; and
  3. enable occupants to carry out laundering; and
  4. provide for facilities to enable food preparation; and
  5. enable unconscious occupants of sanitary compartments to be removed from the compartment.

F4O1 Objective

The BCA requires sanitary facilities to be installed at a rate based on the number of people in a building. If insufficient, unacceptable queuing may result.

Loss of amenity can occur if users are not providedwith sufficient privacy.

Adequate laundry and cooking facilities should be available to health-care buildings and early-childhood centres, as well as residents of Class 2 buildings and Class 4 parts of a building. The BCA requires sanitary facilities to be installed at a rate based on the number of people in a building. If insufficient, unacceptable queuing may result. Loss of amenity can occur if users are not provided with sufficient privacy. Adequate laundry and cooking facilities should be available to health- care buildings and early-childhood centres, as well as residents of Class 2 buildings and Class 4 parts of a building.

Functional Statements

A building is to be provided with—

  1. suitable sanitary facilities and space and facilities for personal hygiene; and
  2. adequate means for the prevention of contaminants to hot water, warm water and cooling water systems.

F4F1 Sanitary facilities

Every building is to be equipped with suitable sanitary facilities along with space and resources for personal hygiene. Additionally, adequate systems to prevent contamination of hot, warm, and cooling water systems are to be provided. The aim is to ensure a hygienic environment and safe water supply within the building.

A building is to be provided with—

  1. space or facilities for laundering; and
  2. suitable means for the sanitary disposal of waste water.

Applications

F4F2 only applies to—

  1. a Class 2 building or a Class 4 part of a building; and
  2. a Class 9a health-care building; and
  3. a Class 9b early childhood centre; and
  4. a Class 9c building.

F4F2 Laundry facilities

Class 9a health-care buildings, class 9b early-childhood centres, Class 2 and 9c buildings and Class 4 parts of a building must be provided with laundry facilities. Under the F4F2 Application provision, F4F2 does not apply to any other classification of buildings. Class 2 and 9c buildings and Class 4 parts of a building are required to have laundry facilities and means to dispose of waste water because occupation is generally of a permanent nature. This is not the case in other buildings. For example, a hotel, motel or boarding school may have its own laundry facilities, or have arrangement with a commercial laundry. Sole-occupancy units in Class 3 buildings are not occupied by the same people for extended periods of time, so they are not required to be provided with laundry facilities or means to dispose of waste water.

A building is to be provided with—

  1. space and facilities for the preparation and cooking of food; and
  2. suitable means for the sanitary disposal of associated waste water.

Applications

F4F3 only applies to—

  1. a Class 2 building or a Class 4 part of a building; and
  2. a Class 9a health-care building; and
  3. a Class 9b early childhood centre; and
  4. a Class 9c building.

F4F3 Food preparation facilities

Class 9a health-care buildings, class 9b early-childhood centres, Class 2 and 9c buildingsand Class 4 parts of a building must be provided with cooking facilities. Under the F4F3 Application provision, F4F3 does not apply to any other classification of buildings.

As for laundry facilities, Class 2 and 9c buildings and Class 4 parts of a building are required to have cooking facilities because their occupation is generally of a permanent nature. Cooking facilities are also required in health-care buildings and early-childhood centres because the occupants of these places may require specific types of food not easily available from outside (e.g. special dietary needs).

Cooking facilities are not required in other classifications of buildings. For example, a hotel, motel or boarding school may have its own cooking facilities, have an arrangement with a commercial caterer, or choose to have no cooking facilities at all. It is assumed that the same people do not occupy sole-occupancy units in Class 3 buildings for extended periods of time, so they are not required to be provided with cooking facilities.

A sanitary compartment is to have sufficient space or other means to permit an unconscious occupant to be removed from the compartment.

F4F4 Removal of unconscious occupant

F4F4 specifies that a sanitary compartment must have enough space or other measures to enable the removal of an unconscious occupant. This requirement aims to facilitate response to emergency situations.

Performance Requirements

Suitable sanitary facilities for personal hygiene must be provided in a convenient location within or associated with a building, to the degree necessary, appropriate to—

  1. the function or use of the building; and
  2. the number and gender of the occupants; and
  3. the disability or other particular needs of the occupants.

F4P1 Personal hygiene facilities

F4P1 recognises that the number,type and location of sanitary facilities are dependent on:

  • what the building is used for; and
  • the number, gender and particular needs of the occupants; and
  • appropriate accessible facilities for disability needs.
NCC Blurbs

Laundering facilities or space for laundering facilities and the means for the sanitary disposal of waste water must be provided in a convenient location within or associated with a building appropriate to the function or use of the building.

Applications

F4P2 only applies to—

  1. a Class 2 building or Class 4 part of a building; and
  2. a Class 9a health-care building; and
  3. a Class 9c building; and
  4. an early childhood centre other than a restricted children’s service.
NCC Title
Laundry facilities
NCC State
VIC
NCC Variation Type
Replacement
NCC SPTC Current
Laundry facilities

Laundering facilities or space for laundering facilities and the means for the sanitary disposal of waste water must be provided in a convenient location within or associated with a building appropriate to the function or use of the building.

Applications

F4P2 only applies to—

  1. a Class 2 building or Class 4 part of a building; and
  2. a Class 9a health-care building; and
  3. a Class 9b early childhood centre; and
  4. a Class 9c building.

F4P2 Laundry facilities

Class 9a health-care buildings, class 9b early-childhood centres, Class 2 and 9c buildings and Class 4 parts of a building must be provided with means to dispose of waste water and either: 

  • laundry facilities; or 
  • space for laundry facilities. 

A building’s function or use will determine the appropriate number and location of the laundry facilities or space, and the means to dispose of waste water. 

For the purposes of F4P2, waste water includes water that is soiled as a result of clothes washing, mopping floors, and other cleaning processes.

A facility must be provided which includes—

  1. a means for food rinsing, utensil washing and the sanitary disposal of associated waste water; and
  2. a means for cooking food; and
  3. a space for food preparation.

Applications

F4P3 only applies to—

  1. a Class 2 building or Class 4 part of a building; and
  2. a Class 9a health-care building; and
  3. a Class 9b early childhood centre; and
  4. a Class 9c building.

F4P3 Kitchen facilities

Class 9a health-care buildings, class 9b early-childhood centres, Class 2 and 9c buildingsand Class 4 parts of a building must be provided with adequate cooking facilities. This means:

  • washing facilities for both food and utensils used for the preparation and consumption of food, in conjunction with adequate waste water disposal;
  • a means of cooking food, which may be either fixed in place (such as a wall-mounted oven) or a removable appliance (such as a microwave unit); and
  • space to allow food to be prepared.

Suitable means must be provided in a building containing wards or bedrooms to facilitate the emptying of sewage or dirty water from containers.

Applications

F4P4 only applies to a Class 9a or 9c building.

Class 9a and 9c buildingswith wards or bedrooms must have facilities for emptying bedpansand the like, such as a slop hopper.

A sanitary compartment must be constructed with sufficient space or other means to permit an unconscious occupant to be removed from the compartment.

Sanitary compartments are tobe large enough orhave another suitable means that enables the removal of anunconscious occupant.

NCC Title
Microbial control for water systems
NCC State
NSW
NCC Variation Type
Deletion
NCC SPTC Current
Microbial control for water systems
NCC Notice
F4P6 does not apply in NSW as the installation of hot water, warm water and cooling water systems (and their operation and maintenance) is regulated in the Public Health Regulation 2012, under the Public Health Act 2010.

Hot water, warm water and cooling water systems installed in a building must control the accumulation of harmful levels of micro-organisms.

Limitations

F4P6 does not apply to a system serving only a single sole-occupancy unit in a Class 2 or 3 building or Class 4 part of a building.

F4P6 Microbial control for water systems

Buildings must have hot water, warm water and cooling water installations that minimise the risk of major disease outbreak caused by the harmful levels of micro-organisms.

This Performance Requirement does not apply to a system serving only a single sole-occupancy unit in a Class 2 or 3 building or Class 4 part of a building.

Verification Methods

(1) Compliance with F4P1, for the number of sanitary facilities, is verified when queuing modelling predicts that occupant waiting time for sanitary facilities is at least equivalent to the waiting time predicted using the respective Deemed-to-Satisfy Provisions.

(2) For calculations performed under (1), the occupant waiting time is determined as the 90th percentile wait time at maximum population.

(3) Queuing modelling in (1) must reflect the following:

  1. Function or use of the building.
  2. Number and gender of occupants.
  3. The disability or other particular needs of the occupants.
  4. Occupant usage patterns.

F4V1 Sanitary facilities

F4V1 enables the use of queuing modelling to demonstrate that the occupant waiting time for sanitary facilities is at least equivalent to the waiting time predicted using the respective Deemed-to-Satisfy Provisions.

Overview of the modelling process

Sanitary facilities and their users are an example of a queuing system. In the usual terminology, a queuing system is made up of one or more servers and a number of customers to be served. In the case of sanitary facilities the servers are the fixtures (closet pans, urinals,wash basins) and the customers are the users of each type of fixture. Any one building may have a number (up to five) more or less separate and independent queuing systems:

  • For males—closet pans, urinals, wash basins
  • For females—closet pans, wash basins.

A queuing system is definedby—

  • the number of servers (= fixtures) and the statistical distribution of servicetime (= occupancy time);
  • the statistical distribution of arrival times of customers(= users); and
  • a queue protocol (assumed to be first in first out denoted by FIFO).

It is assumed that the population of customers is effectively infinite, except for cases where there is a pronounced interval effect, as in the case of theatre intermission, and that there is no physical limit on queue size (which may arise due to space limitations for example), but there may be some avoidance behaviour on the part of users if queue length (and expected waiting time) become excessive.

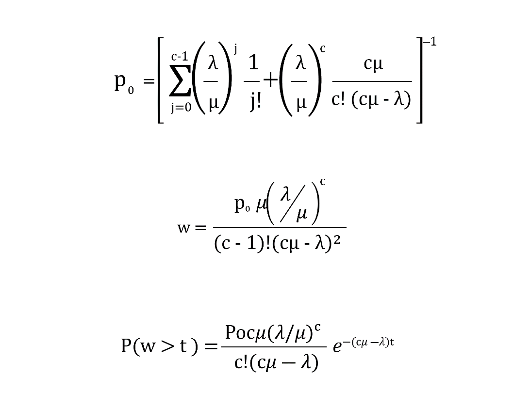
The analysis of queuing systems can be complex. Under certain assumptions, closed form expressions can be derived for the key parameters that describe the performance of a queuing system. The particular type of queuing system which is most straightforward to analyse is based on the assumption that the arrival times can be described by a Poisson distribution. A Poisson distribution is fully defined by a single parameter, denoted by the Greek letter λ, which turns out to be the arrival rate (number of arrivals per unit time).

The Poisson distribution has two properties that render its use attractive. Firstly it is memoryless i.e. the probability of an arrival at anytime is independent of the past history of the system (for example, whether there has been another recent arrival). The second property is that the inter-arrival times follow the geometric distribution with a mean arrival time of 1/λ. The Poisson distribution is the only process that has these properties.

Occupancy times in a simple queuing system are also assumed to have the geometric distribution with mean value denoted by 1/μ. Thus the servers (times when users finish with a fixture) is also a Poisson process with parameter μ. Once again, this has the memoryless property (the probability of a user finishing with a fixture is independent of the occupation time up to that point).

The queuing system described above is often referred to as a M/M/c system where c denotes the number of fixtures of a certain kind and for each sex (the use of M signifies memoryless).

Where the queuing system has been allowed to settle into a steady state a full analysis is possible and the following parameters can be determined:

  • The traffic density(= the ratio of mean occupancy time (1/μ) divided by the number of fixtures(c) to mean inter-arrival time (1/λ): this ratio must be less than one or the queue grows without bound, λ/(cμ)<1).
  • The probability that nobody is in the system (no one of the specified sex is using the specified type of fixture).
  • The probability that a user will need to wait.
  • The mean waiting time.

The waiting time cumulative distribution function: this provides an estimate of the proportion of occurrences when a user arriving at a facility will need to wait more than a specified time (or the probability that a user will have to wait more than a specified time).

Image
F4V1 Sanitary facilities

Deemed-to-Satisfy Provisions

(1) Where a Deemed-to-Satisfy Solution is proposed, Performance Requirements F4P1 to F4P6 are satisfied by complying with—

  1. F4D2 to F4D12; and
  2. for public transport buildings, Part I2; and
  3. for farm sheds, Part I3.

VIC F4D1 Deemed-to-Satisfy Provisions2019: F2.0

Delete subclause F4D1(1) and insert F4D1(1) as follows:

(1) Where a Deemed-to-Satisfy Solution is proposed, Performance Requirements F4P1 to F4P6 are satisfied by complying with—

  1. F4D2 to F4D12 and VIC F4D13; and
  2. for public transport buildings, Part I2; and
  3. for farm sheds, Part I3.

(2) Where a Performance Solution is proposed, the relevant Performance Requirements must be determined in accordance with A2G2(3) and A2G4(3) as applicable.

To clarify that complying with Part F4 and, for public transport buildings Part I2, and for farm sheds Part I3, will satisfy the requirements of F4P1 to F4P6.

(1) For facilities in Class 2 buildings, the following applies:

  1. Within each sole-occupancy unit, provide—
    1. a kitchen sink and facilities for the preparation and cooking of food; and
    2. a bath or shower; and
    3. a closet pan; and
    4. a washbasin.
  2. For laundry facilities, provide either—
    1. in each sole-occupancy unit
      1. clothes washing facilities, comprising at least one washtub and a space for a washing machine; and
      2. clothes drying facilities comprising clothes line or a hoist with not less than 7.5 m of line, or space for one heat operated drying cabinet or appliance in the same room as the clothes washing facilities; or
    2. a separate laundry for each 4 sole-occupancy units, or part thereof, that must comprise—
      1. clothes washing facilities, comprising at least one washtub and a space for a washing machine; and
      2. clothes drying facilities comprising clothes line or a hoist with not less than 7.5 m of line per sole-occupancy unit, or space for one heat operated drying cabinet or appliance.
  3. For the purposes of (a) and (b), a kitchen sink or washbasin must not be counted as a laundry washtub.

(2) For facilities in Class 3 buildings other than residential care buildings, the following applies:

  1. For residents in each building or group of buildings, for each 10 residents for whom private facilities are not provided, provide—
    1. a bath or shower; and
    2. a closet pan; and
    3. a washbasin.
  2. Notwithstanding (a), if one urinal is provided for each 25 males up to 50 and one additional urinal for each additional 50 males or part thereof, one closet pan for each 12 males may be provided.
  3. Facilities for employees must be provided in accordance with F4D4.
  4. Facilities required by (a), (b) or (c) need not be situated in the same building.

(3) For facilities in Class 3 residential care buildings, the following applies:

  1. For residents in each building or group of buildings, provide—
    1. a shower, closet pan and wash basin for each 8 residents or part thereof where private facilities are not provided; and
    2. a suitable bath for each 30 residents or part thereof.
  2. For the purposes of (a), urinals must not be taken into consideration in calculating the number of facilities.

(4) For facilities in a Class 4 part of a building, the following applies:

  1. For the sole-occupancy unit, provide—
    1. a kitchen sink and facilities for the preparation and cooking of food; and
    2. a bath or shower; and
    3. a closet pan; and
    4. a washbasin; and
    5. clothes washing facilities, comprising a washtub and space in the same room for a washing machine; and
    6. a clothes line or hoist, or space for a heat-operated drying cabinet or similar appliance for the exclusive use of the occupants.
  2. For the purposes of (a), a kitchen sink or washbasin must not be counted as a laundry washtub.

(5) For facilities in Class 9c buildings, the following applies:

  1. For residents in each building or group of buildings, provide—
    1. a closet pan and wash basin for each 6 residents or part thereof where private facilities are not provided; and
    2. a shower for each 7 residents or part thereof for where private facilities are not provided; and
    3. a suitable bath, fixed or mobile.
  2. In addition to the facilities required by (a), provide—
    1. one kitchen or other adequate facility for the preparation and cooking or reheating of food including a kitchen sink and washbasin; and
    2. laundry facilities for the cleansing and drying of linen and clothing or adequate facilities for holding and dispatch or treatment of soiled linen and clothing and the like and the receipt and storage of clean linen; and
    3. one clinical hand washing basin for each 16 residents or part thereof.
  3. For the purposes of (a), urinals must not be taken into consideration in calculating the number of facilities.

To specify the minimum acceptable sanitary, bathing, laundry and cooking facilities required in Class 2 buildings, Class 3 buildings (for residents only), Class 9c buildings (for residents only) and Class 4 parts of a building.

F4D2 Facilities in residential buildings

F4D2 lists the type and number of facilities required in Class 2 buildings, Class 3 buildings (for residents only), Class 9c buildings (for residents only) and Class 4 parts of a building. The reason that residential care buildings are included is that they are regarded as residential buildings because they are the residents’ home. All the listed facilities are to be provided separately.

For laundry facilities—Class 2 buildings and Class 4 parts of a building must be provided with a means to wash clothes. In Class 2 buildings, laundry facilities must be provided as follows:

  • within each sole-occupancy unit:
    • at least one washtub; and
    • at least one space for a washing machine; or
  • as a separate group for each four (or less) sole-occupancy units:
    • a washtub; and
    • at least one washing machine.

Examples

In a Class 2 building or Class 4 part of a building, a washbasin and a washtub are required. Although the placing of laundry facilities in a bathroom is permitted, a separate washbasin and washtub are still required.

Class 4 parts of a building must be provided with at least one washtub and at least one space for a washing machine.

A washtub provided to a Class 2 building or Class 4 part of a building provides the necessary means to dispose of waste water as required by F4P2.

For drying clothes—Class 2 buildings and Class 4 parts of a building must be provided with some means to dry clothes. In Class 2 buildings, clothes-drying facilities must be provided as follows:

  • within each sole-occupancy unit:
    • at least 7.5 metres of drying line; or
    • at least one space for a drying cabinet or appliance; or
  • as a separate group for each four (or less) sole-occupancy units:
    • at least 7.5 metres of drying line per sole-occupancy unit; or
    • at least one drying cabinet or appliance.

Class 4 parts of a building must be provided with at least one clothesline or hoist; or at least one space for a drying cabinet or appliance.

For food—in Class 2 buildings (in each sole-occupancy unit) and Class 4 parts of a building, the following must be provided:

  • at least one kitchen sink; and
  • facilities for the preparation and cooking of food (see F4P3).

For bathing and toiletry in residences—at least either one bath or shower, and at least one closet pan and one washbasin must be provided:

  • in each sole-occupancy unit in Class 2 buildings;
  • for each 10 residents (or less) in a Class 3 building or group of buildings for whom private facilities are not provided (note the concession where urinal facilities are provided); and
  • in each Class 4 part of a building.

For Class 3 building facilities—the patrons’ facilities may be groupedtogether and do not need to be in the building where sleeping accommodation is provided.

Examples

An example of grouped facilities could be sanitary facilities located in a freestanding ablution block that services several accommodation units.

The facilities for a Class 3 building (other than a residential care building) contained in F4D2(2) are those for the residential portion of the building only. Facilities for employees in Class 3 buildings are contained in F4D4.

For Class 9c buildings—the facilities listed in F4D2(5)(a) apply to the residential portion of Class 9c buildings only. The kitchen and laundry facilities listed in F4D2(5)(b) need not be locatedin the resident use area.The clinical hand washing basin listed in F4D2(5)(b)(iii) is intended for use by staff, etc. and therefore would be best placed in the resident use area. Sanitary facilities for employees in Class 9c buildings are contained in the general part of Table F4D4a. They can be utilised by the occupants when required.

(1) The number of persons accommodated must be calculated according to D2D18 if it cannot be more accurately determined by other means.

(2) Unless the premises are used predominantly by one sex, sanitary facilities must be provided on the basis of equal numbers of males and females.

(3) In calculating the number of sanitary facilities to be provided under F4D2 and F4D4, a unisex facility required for people with a disability (other than a facility provided under F4D12) may be counted once for each sex.

(4) For the purposes of this Part, a unisex facility comprises one closet pan, one washbasin and means for the disposal of sanitary products.

To provide a method for calculating the number of occupants and facilities for the purposes of Part F4.

F4D3 Calculation of number of occupants and facilities

If the number of people who will occupy a building is known, it should be used. However, in the absence of more accurate information, D2D18 must be used. D2D18 is used in several Parts of the BCA, such as in calculating minimum exit widths, as well as the number of sanitary and other facilities. D2D18 does not restrict the number of occupants using a building or enforce any building use or licensing requirements. Refer also to comments on D2D18.

As specified in D2D18(b), if the building is an assembly building or room, its fixed seating provisions give an indication of capacity.

Any other suitable means, as specified in D2D18(c), may include a statement from the building owner as to the number of occupants where there is limited public access.

Examples

An alternative means of assessing the number of occupants may be appropriate in the following case.

A specific restaurant may have fixed tables, booths, dining alcoves and architectural features which occupy a significant proportion of the floor space, so the actual number of patrons able to be accommodated may be much less than the number calculated using the one person for every square metre of floor area in D2D18.

In such a case, it may be appropriate to count the number of seats available for use by patrons or some other method. However, due allowance would need to be made for the employees, as well as the potential for alternative seating layouts which could then increase the number of people in the restaurant.

For consideration of gender—the number of sanitary facilities should be calculated on the basis that the population of males and females in a building will usually be about equal. Where a building will be occupied predominantly by one sex, the proportion of sanitary facilities can be adjusted accordingly.

Examples

It may be appropriate to vary the proportion of female and male sanitary facilities in:

  • a gymnasium which has appropriate permission to cater for a single sex;
  • a single-sex sports facility, such as either an all-male football club or an all-female netball club;
  • all-male or all-female prisons; and
  • medical or hospital facilities that cater for a specific sex, such as prostate-cancer specialists, gynaecological clinics and maternity hospitals.

For unisex facilities—under F4D3(3), a required unisex facility for people with a disability can be counted as a facility for both males and females. It should be noted that F4D3(3) does not applyto unisex facilities for people with a disability that are provided in addition to the number required by the NCC.

F4D3(4) defines the meaning of ‘unisex facility’ for the purposes of Part F4. It is important to note that a sanitary compartment suitable for a person with an ambulant disability is not a unisex facility and cannot be counted as a facility for both males and females under F4D3(3).

Examples

If there is a requirement for a toilet block to contain 10 closet pans for males and 10 closet pans for females (a total of 20 closet pans), they may be provided as a total of 19 closet pans, i.e.:

9 male;

9 female; and

1 unisex facility for people with a disability.

A similar approach can be used for the number of washbasins required.

In another case where there is a requirement for 1 closet pan for males and 1 closet pan for females, providing a single unisex facility may satisfy this requirement. However, if a urinal is also required it cannot be in the unisex facility; it must be in an area reserved for use by males.

(1) Except where permitted by (3), (4), (7), F4D5(a), F4D5(b) and F4D12(1), separate sanitary facilities for males and females must be provided for Class 3, 5, 6, 7, 8 or 9 buildings in accordance with Tables F4D4a, F4D4b, F4D4c, F4D4d, F4D4e, F4D4f, F4D4g, F4D4h, F4D4i, F4D4j, F4D4k and F4D4l, as appropriate.

(2) In Tables F4D4a, F4D4b, F4D4c, F4D4d, F4D4e, F4D4f, F4D4g, F4D4h, F4D4i, F4D4j, F4D4k and F4D4l

  1. ‘Number’ means the number of facilities required; and
  2. ‘>’ means greater than; and
  3. a hyphen means no data (refer to the row above for the highest value applicable); and
  4. ‘N/A’ means not applicable; and
  5. a reference to—
    1. ‘employees’ includes owners and managers using the building; and
    2. ‘add 1 per 100 or 150, 250, 500, etc.’ includes any part thereof of that number.

(3) If not more than 10 people are employed, a unisex facility may be provided instead of separate facilities for each sex.

(4) If the majority of employees are of one sex, not more than 2 employees of the other sex may share toilet facilities if the facilities are separated by means of walls, partitions and doors to afford privacy.

(5) Employees and the public may share the same facilities in a Class 6 and 9b building (other than a school or early childhood centre) provided the number of facilities provided is not less than the total number of facilities required for employees plus those required for the public.

(6) Adequate means of disposal of sanitary products must be provided in sanitary facilities for use by females.

(7) Separate sanitary facilities for males and females need not be provided for patients in a ward area of a Class 9a building.

(8) A Class 9a health-care building must be provided with—

  1. one kitchen or other adequate facility for the preparation and cooking or reheating of food including a kitchen sink and washbasin; and
  2. laundry facilities for the cleansing and drying of linen and clothing or adequate facilities for holding and dispatch or treatment of soiled linen and clothing, sanitary products and the like and the receipt and storage of clean linen; and
  3. one shower for each 8 patients or part thereof; and
  4. one island-type plunge bath in each storey containing a ward area.

(9) A Class 9b early childhood centre must be provided with—

  1. a kitchen or food preparation area with a kitchen sink, separate hand washing facilities, space for a refrigerator and space for cooking facilities, with—
    1. the facilities protected by a door or gate with child proof latches to prevent unsupervised access to the facilities by children younger than 5 years old; and
    2. the ability to facilitate supervision of children from the facilities if the early childhood centre accommodates children younger than 2 years old; and
  2. one bath, shower or shower-bath; and
  3. if the centre accommodates children younger than 3 years old—
    1. a laundry facility comprising a washtub and space in the same room for a washing machine; and
    2. a bench type baby bath, which is within 1 m of the nappy change bench; and
    3. a nappy changing bench which—
      1. is within 1 m of separate adult hand washing facilities and bench type baby bath; and
      2. must be not less than 0.9 m2 in area and at a height of not less than 850 mm, but not more than 900 mm above the finished floor level; and
      3. must have a space not less than 800 mm high, 500 mm wide and 800 mm deep for the storage of steps; and
      4. is positioned to permit a staff member changing a nappy to have visibility of the play area at all times.

VIC F4D4 Facilities in Class 3 to 9 buildings2019: F2.3

Delete subclause F4D4(9) and insert F4D4(9) as follows:

(9) A Class 9b early childhood centre, other than a children’s service, must be provided with—

  1. a kitchen or food preparation area with a kitchen sink, separate hand washing facilities, space for a refrigerator and space for cooking facilities, with—
    1. the facilities protected by a door or gate with child proof latches to prevent unsupervised access to the facilities by children younger than 5 years old; and
    2. the ability to facilitate supervision of children from the facilities if the early childhood centre accommodates children younger than 2 years old; and
  2. one bath, shower or shower-bath; and
  3. if the centre accommodates children younger than 3 years old—
    1. a laundry facility comprising a washtub and space in the same room for a washing machine; and
    2. a bench type baby bath, which is within 1 m of the nappy change bench; and
    3. a nappy changing bench which—
      1. is within 1 m of separate adult hand washing facilities and bench type baby bath; and
      2. must be not less than 0.9 m2 in area and at a height of not less than 850 mm, but not more than 900 mm above the finished floor level; and
      3. must have a space not less than 800 mm high, 500 mm wide and 800 mm deep for the storage of steps; and
      4. is positioned to permit a staff member changing a nappy to have visibility of the play area at all times.

(10) Class 9b theatres and sporting venues must be provided with one shower for each 10 participants or part thereof.

(11) Not less than one washbasin must be provided where closet pans or urinals are provided.

VIC F4D4 Facilities in Class 3 to 9 buildings2019: F2.3

Insert VIC subclause F4D4(12) in clause F4D4 as follows:

(12) A children’s service must be provided with—

  1. a kitchen or facilities for the preparation and cooking of food for children including washing up facilities and a space for refrigerated food storage facilities; and
  2. except in a restricted children’s service, if the service accommodates children younger than 3 years of age—
    1. a laundry facility comprising a washtub and space in the same room for a washing machine; and
    2. a bench-type baby bath, with hot and cold water connected, and a nappy change bench in close proximity; and
  3. except in a restricted children’s service, one bath or shower-bath.
Table F4D4a Sanitary facilities in Class 3, 5, 6 and 9 buildings other than schools
User group Facility type Design occupancy Number
Male employees Closet pans 1 - 20 1
>20 Add 1 per 20
Urinals 1 - 10 0
11 - 25 1
26 - 50 2
>50 Add 1 per 50
Washbasins 1 - 30 1
>30 Add 1 per 30
Female employees Closet pans 1 - 15 1
>15 Add 1 per 15
Washbasins 1 - 30 1
>30 Add 1 per 30
Table F4D4b Sanitary facilities in Class 7 and 8 buildings
User group Facility type Design occupancy Number
Male employees Closet pans 1 - 20 1
>20 Add 1 per 20
Urinals 1 - 10 0
11 - 25 1
26 - 50 2
>50 Add 1 per 50
Washbasins 1 - 20 1
>20 Add 1 per 20
Female employees Closet pans 1 - 15 1
>15 Add 1 per 15
Washbasins 1 - 20 1
>20 Add 1 per 20
Table Notes

Sanitary facilities need not be provided for a Class 8 electricity network substation.

Table F4D4c Sanitary facilities in Class 6 buildings – department stores, shopping centres
User group Facility type Design occupancy Number
Male patrons Closet pans 1 - 1200 1
>1200 Add 1 per 1200
Urinals 1 - 600 1
>600 Add 1 per 1200
Washbasins 1 - 600 1
>600 Add 1 per 1200
Female patrons Closet pans 1 - 300 1
301 - 600 2
>600 Add 1 per 1200
Washbasins 1-600 1
601 - 1200 2
>1200 Add 1 per 1200
Table Notes

Sanitary facilities need not be provided for patrons if the total number of persons accommodated in the building is not more than 600.

Table F4D4d Sanitary facilities in Class 6 buildings – restaurants, cafes, bars
User group Facility type Design occupancy Number
Male patrons Closet pans 1 - 100 1
101 - 300 2
>300 Add 1 per 200
Urinals 1 - 50 1
51 - 100 2
101 - 150 3
151 - 200 4
201 - 250 5
>250 Add 1 per 100
Washbasins 1 - 50 1
51 - 200 2
>200 Add 1 per 200
Female patrons Closet pans 1 - 25 1
26 - 50 2
51 - 100 3
101 - 150 4
151 - 200 5
201 - 250 6
>250 Add 1 per 100
Washbasins 1 - 50 1
51 - 150 2
>150 Add 1 per 200
Table Notes

Sanitary facilities need not be provided for patrons if the total number of persons accommodated in the building is not more than 20.

Delete table (F4D4d) and insert NSW table (F4D4d) as follows:
NSW Table F4D4d: Sanitary facilities in Class 6 buildings – restaurants, cafes, bars
User group Facility type Design occupancy Number
Male patrons Closet pans 1 - 100 1
101 - 300 2
>300 Add 1 per 200
Urinals 1 - 50 1
51 - 100 2
101 - 150 3
151 - 200 4
201 - 250 5
>250 Add 1 per 100
Washbasins 1 - 50 1
51 - 200 2
>200 Add 1 per 200
Female patrons Closet pans 1 - 25 1
26 - 50 2
51 - 100 3
101 - 150 4
151 - 200 5
201 - 250 6
>250 Add 1 per 100
Washbasins 1 - 50 1
51 - 150 2
>150 Add 1 per 200
Note
  1. Sanitary facilities need not be provided for patrons if the total number of persons accommodated in the building is not more than 20.
  2. Sanitary facilities need not be provided for patrons in a small live music or arts venue that is not a licensed premises.
Table F4D4e Sanitary facilities in Class 9a health-care buildings
User group Facility type Design occupancy Number
Male patients Closet pans 1 - 16 2
>16 Add 1 per 8
Washbasins 1 - 8 1
>8 Add 1 per 8
Female patients Closet pans 1 - 16 2
>16 Add 1 per 8
Washbasins 1 - 8 1
>8 Add 1 per 8
Table Notes

Urinals are not required for a Class 9a health-care building.

Table F4D4f Sanitary facilities in Class 9b buildings – schools
User group Facility type Design occupancy Number
Male employees Closet pans 1 - 20 1
>20 Add 1 per 20
Urinals 1 - 10 0
11 - 20 1
21 - 45 2
>45 Add 1 per 30
Washbasins 1 -30 1
>30 Add 1 per 30
Female employees Closet pans 1 - 5 1
>5 Add 1 per 15
Washbasins 1 - 30 1
>30 Add 1 per 30
Male students Closet pans 1 - 25 1
26 - 75 2
76 - 150 3
151 - 200 4
>200 Add 1 per 100
Urinals 1 - 50 1
51 - 100 2
>100 Add 1 per 100
Washbasins 1 - 10 1
11 - 50 2
51 - 100 3
>100 Add 1 per 75
Female students Closet pans 1 - 10 1
11 - 25 2
26 - 100 Add 1 per 25
>100 Add 1 per 50
Washbasins 1 - 10 1
11 - 50 2
51 - 100 3
>100 Add 1 per 75
Table F4D4g Sanitary facilities in Class 9b buildings – early childhood centres
User group Facility type Design occupancy Number
Children Closet pans 1 - 30 2
>30 Add 1 per 15
Washbasins 1 - 30 2
>30 Add 1 per 15
Table Notes
  1. Urinals are not required for a Class 9b early childhood centre.
  2. Facilities for use by children must be—
    1. junior pans; and
    2. washbasins with a rim height not exceeding 600 mm; and
    3. accessible from both indoor and outdoor play areas.
Delete table (F4D4g) and insert VIC table (F4D4g) as follows:
VIC Table F4D4g: Sanitary facilities in Class 9b buildings – early childhood centres
User group Facility type Design occupancy Number
Children Closet pans 1 - 30 2
>30 Add 1 per 15
Washbasins 1 - 30 2
>30 Add 1 per 15
Note

Facilities for use by children must be—

  1. junior closet pans, except that those in a restricted children’s service may be adult height toilets if they are fitted with a removable seat suitable for children and a wide and stable step in front; and
  2. washbasins with a rim height not exceeding 600 mm, except that those in a restricted children’s service may be adult height washbasins if they are provided with a wide and stable step in front; and
  3. except in a children’s service, accessible from both indoor and outdoor play areas; and
  4. in a children’s service, other than a restricted children’s service, the closet pans must be located in relation to children’s rooms and outdoor play spaces so that children using toilets can be observed by staff from children’s rooms and outdoor play space.
Table F4D4h Sanitary facilities in Class 9b buildings – theatres and cinemas with multiple auditoria, art galleries and the like
User group Facility type Design occupancy Number
Male participants Closet pans 1 - 20 1
>20 Add 1 per 20
Urinals 1 - 10 1
>10 Add 1 per 10
Washbasins 1 - 10 1
>10 Add 1 per 10
Female participants Closet pans 1 - 10 1
>10 Add 1 per 10
Washbasins 1 - 10 1
>10 Add 1 per 10
Male spectators or patrons Closet pans 1 - 250 1
251 - 500 2
>500 Add 1 per 500
Urinals 1 - 100 1
>100 Add 1 per 100
Washbasins 1 - 150 1
>150 Add 1 per 150
Female spectators or patrons Closet pans 1 - 10 1
11 - 50 2
>50 Add 1 per 60
Washbasins 1 - 80 1
81 - 250 2
251 - 430 3
>430 Add 1 per 200
Table F4D4i Sanitary facilities in Class 9b buildings – single auditorium theatres and cinemas
User group Facility type Design occupancy Number
Male patrons Closet pans 1 - 50 0
51 - 250 1
251 - 500 2
>500 Add 1 per 500
Urinals 1 - 50 0
51 - 100 1
>100 Add 1 per 100
Washbasins 1 - 50 0
51 - 150 1
>150 Add 1 per 150
Female patrons Closet pans 1 - 50 0
51 - 110 3
111 - 170 4
171 - 230 5
231 - 250 6
>250 Add 1 per 80
Washbasins 1 - 50 0
51 - 150 1
>150 Add 1 per 150
Table F4D4j Sanitary facilities in Class 9b buildings – sports venues or the like
User group Facility type Design occupancy Number
Male participants Closet pans 1 - 20 1
>20 Add 1 per 20
Urinals 1 - 10 1
>10 Add 1 per 10
Washbasins 1 - 10 1
>10 Add 1 per 10
Female participants Closet pans 1 - 10 1
>10 Add 1 per 10
Washbasins 1 - 10 1
>10 Add 1 per 10
Male spectators or patrons Closet pans 1 - 250 1
251 - 500 2
>500 Add 1 per 500
Urinals 1 - 100 1
>100 Add 1 per 100
Washbasins 1 - 150 1
>150 Add 1 per 150
Female spectators or patrons Closet pans 1 - 15 1
16 - 60 2
61 - 120 3
>120 Add 1 per 70
Washbasins 1 - 60 1
61 - 200 2
201 - 350 3
>350 Add 1 per 150
Table F4D4k Sanitary facilities in Class 9b buildings – churches, chapels or the like
User group Facility type Design occupancy Number
Male patrons Closet pans 1 - 300 1
>300 Add 1 per 500
Urinals 1 - 200 1
>200 Add 1 per 200
Washbasins 1 - 250 1
>250 Add 1 per 250
Female patrons Closet pans 1 - 150 1
>150 Add 1 per 150
Washbasins 1 - 250 1
>250 Add 1 per 250
Table F4D4l Sanitary facilities in Class 9b buildings – public halls, function rooms or the like
User group Facility type Design occupancy Number
Male patrons Closet pans 1 - 100 1
>100 Add 1 per 200
Urinals 1 - 50 1
51 - 100 2
101 - 150 3
151 - 200 4
201 - 250 5
>250 Add 1 per 100
Washbasins 1 - 50 1
51 - 200 2
>200 Add 1 per 200
Female patrons Closet pans 1 - 25 1
26 - 50 2
51 - 100 3
101 - 150 4
151 - 200 5
201 - 250 6
>250 Add 1 per 100
Washbasins 1 - 50 1
51 - 150 2
>150 Add 1 per 200
Table Notes

Sanitary facilities need not be provided for patrons if the total number of persons accommodated in the building is not more than 20.

To specify the minimum acceptable sanitary, bathing, laundry and cooking facilities required in Class 3 buildings (for employees only) and in Class 5-9 buildings.

F4D4 Facilities in Class 3 to 9 buildings

F4D4 and Tables F4D4a to F4D4l contain the requirements for the type and number of facilities required. They are based on the premise that a higher ratio of sanitary facilities is required in buildings where occupants spend a long time.

Examples

A higher ratio of sanitary facilities is required in a Class 7 or Class 8 workplace (where employees could spend all day) than in a Class 6 department store (where customers could be expected to spend less time).

F4D4(1) requires the separation of male and female toilets. F4D4(3), (4) and (7) provide specific exemptions permitting unisex and combined facilities in some circumstances. Figure F4D4 [RM1] shows an example of a typical layout that meets the requirement for separate facilities under F4D4(1).

Table F4D4: Example of a typical layout for separate facilities

Image
Table F4D4: Example of a typical layout for separate facilities

Except in schools and early-childhood centres, separation of facilities for employee and the public is not required (see F4D4(5)). Separation is required in schools to maintain the teacher/student relationship, while in early childhood centres it is required because of the:

  • provision of junior pans;
  • use of the facilities for hygiene training purposes; and
  • need to keep the children under observation.

Sanitary facilities for females must be provided with a means of disposal of sanitary products (see F4D4(6)). This might include an incinerator, or a bin and disposal service. This provision also applies to unisex or male/female shared facilities permitted by F4D4(3) and (4).

F4D4(7) provides an exemption to (1) for ward areas in a Class 9a building. This allows for unisex facilities for operational requirements such as flexible bed allocations.

For health-care buildings—in addition to Table F4D4e, F4D4(8) requires facilities for preparing meals and laundering to meet the needs of patients and occupants residing in the building.

F4D4(8)(a) therefore requires:

  • a kitchen or other facilities for the preparation and cooking or reheating of food;
  • a kitchen sink for the washing of plates, cutlery,cooking utensils, and the like; and
  • a washbasin for kitchen staff to wash their hands.

Because of the amount of linen and clothes requiring laundering in these buildings, F4D4(8)(b) requires laundry facilities; or places for the holding and dispatching soiled linen, clothing, and the like; and the receipt and storage of clean linen.

For early childhood centres—F4D4(9)(a) requires a kitchen because young children may require food prepared on the premises, possibly in the form of special diets. The kitchen must comprise:

  • facilities for the preparation and cooking of food for infants;
  • a kitchen sink;
  • separate hand washing facilities;
  • space for a refrigerator and;
  • child proof latches attached to any access door or gate to the kitchen facilities to prevent unsupervised entry to the kitchen by children younger than 5 years.

F4D4(9)(a) requires, if the centre accommodates children younger than 2 years, the kitchen to be designed and constructed to facilitate supervision of children in the centre. In some circumstances, such as in a large early childhood centre, supervision requirements may not be fully achievable. In these situations a Performance Solution may be required. For example, the solution may provide an option to be able to supervise the activities of children younger than 2 years while also engaging in the heating of baby bottles, an option which may not be possible with the main kitchen.

If the building accommodates children younger than 3 years, there may also be a need to carry out washing of nappies and other clothing. F4D4(9)(c)(i) therefore requires the installation of laundry facilities (but not drying facilities) in these buildings comprising:

  • a washtub; and
  • space in the same room for a washing machine.

Other requirements for centres accommodating children younger than 3 years are also prescribed under F4D4(9)(c)(ii) and (iii).

F4D4(9)(c)(ii) requires a bench-type bath to be provided within 1 m of a nappy changing bench.

F4D4(9)(iii) specifies the requirements for a nappy changing bench. The requirements in (A) to (D) require the nappy changing bench to be:

  • within 1 m of a separate adult hand washing facility;
  • not less than 0.9 m2 in surface area for the top of the bench;
  • not less than 850 mm and not more than 900 mm from the finished floor level to the top of the bench. This height range is specified for ergonomic and safety reasons;
  • provided with a space not less than 800 mm high x 800 mm deep x 500 mm wide for the storage of steps; and
  • provided in a location so that the play area is visible at all times, to allow adequate supervision of other children whilst changing a child.

Examples

A Class 6 department store has a total floor area of 2000 m2. From information provided by the proponent for the development, 35 staff will be employed. The sales floor has an area of 1700 m2. Applying F4D3(1) and Table D2D18, the number of customers that could be expected to be accommodated is 567 persons (one customer for each 3 m2 of sales floor area). Applying F4D3(2), an equal 50/50 gender ratio for both staff and customers is used.

The total number of persons accommodated is 602 (567+35). The number of facilities required by Table F4D4c is set out below in example Table F4D4.

Table F4D4: Calculation of number of sanitary facilities—Class 6 department store

User groupDesign occupancyNumber of closet pansNumber of urinalsNumber of wash- basins
Male employees17.5111
User groupDesign occupancyNumber of closet pansNumber of urinalsNumber of wash- basins
Female employees17.52-1
Total employees35312
Male patrons283.5111
Female patrons283.51-1
Total patrons567212
Overall total602524

Table Notes

The overall total number of closet pans and wash basins can be reduced by one for each sex where a unisex facility for people with a disability is provided (see F4D3(3)). The BCA does not require facilities for staff to be in an area separate from customers. Therefore a single toilet block with separate male and female facilities could be provided (see F4D3(4)) but a separation may be needed under some other regulations, such as workplace or health regulations, so should be checked.

In addition to F4D4, Work Health and Safety legislation may require supplementary facilities. This can include showers and change rooms in some work places, depending on the natureof the work and workingconditions of the employees.

In a building required to be accessible

  1. accessible unisex sanitary compartments must be provided in accessible parts of the building in accordance with F4D6; and
  2. accessible unisex showers must be provided in accordance with F4D7; and
  3. at each bank of toilets where there is one or more toilets in addition to an accessible unisex sanitary compartment at that bank of toilets, not less than one sanitary compartment suitable for a person with an ambulant disability for use by males and not less than one sanitary compartment suitable for a person with an ambulant disability for use by females, each in accordance with AS 1428.1, must be provided; and
  4. an accessible unisex sanitary compartment must contain a closet pan, washbasin, shelf or bench top and adequate means of disposal of sanitary products; and
  5. the circulation spaces, fixtures and fittings of all accessible sanitary facilities provided in accordance with F4D6 and F4D7 must comply with the requirements of AS 1428.1; and
  6. an accessible unisex sanitary facility must be located so that it can be entered without crossing an area reserved for one sex only; and
  7. where two or more of each type of accessible unisex sanitary facility are provided, the number of left and right handed mirror image facilities must be provided as evenly as possible; and
  8. where male sanitary facilities are provided at a separate location to female sanitary facilities, accessible unisex sanitary facilities are only required at one of those locations; and
  9. an accessible unisex sanitary compartment or an accessible unisex shower need not be provided on a storey or level that is not required by D4D4(f) to be provided with a passenger lift or ramp complying with AS 1428.1.

To specify the minimum acceptable sanitary and bathing facilities required for people with a disability in Class 1b, Class 2, Class 3, Class 5-9 and Class 10a buildings.

Section D requires equitable and dignified access to buildings and the services they provide. Section D and Part F4 are also intended to apply inclusively to people with a disability (see F4P1). Not only must people with a disability be able to access a building’s sanitary facilities, those facilities must be usable by them.

F4D5(a) and (b) refer to F4D6 and F4D7 respectively to determine the numbers of accessible sanitary facilities, and AS 1428.1 for details of the design of accessible facilities. Facilities such as wash basins, a shelf or bench top and adequate means of disposing of sanitary products must be inside the accessible unisex sanitary compartment and not outside in a public area. F4D5 also requires sanitary compartments suitable for use by a person with an ambulant disability to be provided in certain circumstances, in addition to compartments for use by a person using a wheelchair. Where two or more of each type of unisex accessible sanitary facilities are provided in a building, the number of left and right handed mirror image facilities must be provided as evenly as possible. This is required because some people transfer from their wheelchairs from the right hand side and some from the left.

F4D6 provides minimum requirements for the provision of accessible unisex sanitary compartments, commonly referred to as unisex accessible toilets. Unisex accessible sanitary compartments are required on each storey where sanitary compartments are provided. If the male or female compartments are located separately and not in a single bank then the accessible unisex sanitary compartment is only required at one of those banks. However, clear directional information about the location of the closest accessible unisex sanitary compartment must be provided. If there are multiple banks containing male and femalesanitary compartments on a storey, there must be an accessible unisex sanitary compartment at not less than 50% of those banks.

F4D7 provides minimum requirements for the provision of accessible unisex shower facilities in buildings where showers are required (by the NCC) to be provided.

F4D5(e) requires that facilities be constructed in accordance with AS1428.1. It is important to note that AS1428.1 contains provisions for both wheelchair accessible facilities and those for people with an ambulant disability. These provisions include:

  • grabrails;
  • circulation space;
  • access door width and swing;
  • height of fixtures;
  • lever handles for taps; and
  • space under the front of basins.

A sanitary compartment that is suitable for a person with an ambulant disability is not intended for use by a person using a wheelchair. Therefore an accessible path of travel need not be provided to such a compartment.

(1) Where required by F4D5(a), the minimum number of accessible unisex sanitary compartments for each class of building is as follows:

  1. For a Class 1b building—
    1. not less than 1; and
    2. where private accessible unisex sanitary compartments are provided for every accessible bedroom, common accessible unisex sanitary compartments need not be provided.
  2. For a Class 2 building, where sanitary compartments are provided in common areas, not less than 1.
  3. For Class 3 and Class 9c buildings—
    1. in every accessible sole-occupancy unit provided with sanitary compartments within the accessible sole-occupancy unit, not less than 1; and
    2. at each bank of sanitary compartments containing male and female sanitary compartments provided in common areas, not less than 1.
  4. For Class 5, 6, 7, 8 or 9 buildings, where F4D4 requires closet pans—
    1. 1 on every storey containing sanitary compartments; and
    2. where a storey has more than 1 bank of sanitary compartments containing male and female sanitary compartments, at not less than 50% of those banks.
  5. For a Class 10a building, at each bank of sanitary compartments containing male and female sanitary compartments, not less than 1.

SA F4D6 Accessible unisex sanitary compartments2019: Table F2.4a

Delete subclause F4D6(1) and insert F4D6(1) as follows:

(1) Where required by F4D5(a), the minimum number of accessible unisex sanitary compartments for each Class of building is as follows:

  1. For a Class 1b building—
    1. not less than 1; and
    2. where private accessible unisex sanitary compartments are provided for every accessible bedroom, common accessible unisex sanitary compartments need not be provided.
  2. For a Class 2 building—
    1. where sanitary compartments are provided in common areas, not less than 1; and
    2. in every sole-occupancy unit required by SA D4D2(4) to be accessible, not less than 1.
  3. For Class 3 and Class 9c buildings—
    1. in every accessible sole-occupancy unit provided with sanitary compartments within the accessible sole-occupancy unit, not less than 1; and
    2. at each bank of sanitary compartments containing male and female sanitary compartments provided in common areas, not less than 1.
  4. For Class 5, 6, 7, 8 or 9 buildings except for within a ward area of a Class 9a health-care building, where F4D4 requires closet pans—
    1. 1 on every storey containing sanitary compartments; and
    2. where a storey has more than 1 bank of sanitary compartments containing male and female sanitary compartments, at not less than 50% of those banks.
  5. For a Class 10a building appurtenant to another Class of building, at each bank of sanitary compartments containing male and female sanitary compartments, not less than 1.

(2) The requirements of (1)(d) do not apply within a ward area of a Class 9a health-care building.

(3) The requirements of (1)(e) do not apply to—

  1. a Class 10a appurtenant to another class of building; or
  2. a sanitary compartment dedicated to a single caravan/camping site.

To specify the minimum acceptable sanitary and bathing facilities required for people with a disability in Class 1b, Class 2, Class 3, Class 5-9 and Class 10a buildings.

Section D requires equitable and dignified access to buildings and the services they provide. Section D and Part F4 are also intended to apply inclusively to people with a disability (see F4P1). Not only must people with a disability be able to access a building’s sanitary facilities, those facilities must be usable by them.

F4D5(a) and (b) refer to F4D6 and F4D7 respectively to determine the numbers of accessible sanitary facilities, and AS 1428.1 for details of the design of accessible facilities. Facilities such as wash basins, a shelf or bench top and adequate means of disposing of sanitary products must be inside the accessible unisex sanitary compartment and not outside in a public area. F4D5 also requires sanitary compartments suitable for use by a person with an ambulant disability to be provided in certain circumstances, in addition to compartments for use by a person using a wheelchair. Where two or more of each type of unisex accessible sanitary facilities are provided in a building, the number of left and right handed mirror image facilities must be provided as evenly as possible. This is required because some people transfer from their wheelchairs from the right hand side and some from the left.

F4D6 provides minimum requirements for the provision of accessible unisex sanitary compartments, commonly referred to as unisex accessible toilets. Unisex accessible sanitary compartments are required on each storey where sanitary compartments are provided. If the male or female compartments are located separately and not in a single bank then the accessible unisex sanitary compartment is only required at one of those banks. However, clear directional information about the location of the closest accessible unisex sanitary compartment must be provided. If there are multiple banks containing male and femalesanitary compartments on a storey, there must be an accessible unisex sanitary compartment at not less than 50% of those banks.

F4D7 provides minimum requirements for the provision of accessible unisex shower facilities in buildings where showers are required (by the NCC) to be provided.

F4D5(e) requires that facilities be constructed in accordance with AS1428.1. It is important to note that AS1428.1 contains provisions for both wheelchair accessible facilities and those for people with an ambulant disability. These provisions include:

  • grabrails;
  • circulation space;
  • access door width and swing;
  • height of fixtures;
  • lever handles for taps; and
  • space under the front of basins.

A sanitary compartment that is suitable for a person with an ambulant disability is not intended for use by a person using a wheelchair. Therefore an accessible path of travel need not be provided to such a compartment.

(1) Where required by F4D5(b), the minimum number of accessible unisex showers for each class of building is as follows:

  1. For a Class 1b building—
    1. not less than 1; and
    2. where private accessible unisex showers are provided for every accessible bedroom, common accessible unisex showers need not be provided.
  2. For a Class 2 building, where showers are provided in common areas, not less than 1.
  3. For Class 3 and 9c buildings—
    1. in every accessible sole-occupancy unit provided with showers within the accessible sole-occupancy unit, not less than 1; and
    2. 1 for every 10 showers or part thereof provided in common areas.
  4. For Class 5, 6, 7, 8 or 9 buildings, where F4D4 requires 1 or more showers, not less than 1 for every 10 showers or part thereof.
  5. For a Class 10a building, where showers are provided, 1 for every 10 showers or part thereof.

SA F4D7 Accessible unisex showers2019: Table F2.4b

Delete subclause F4D7(1) and insert F4D7(1) as follows:

(1) Where required by F4D5(b), the minimum number of accessible unisex showers for each Class of building is as follows:

  1. For a Class 1b building—
    1. not less than 1; and
    2. where private accessible unisex showers are provided for every accessible bedroom, common accessible unisex showers need not be provided.
  2. For a Class 2 building—
    1. where showers are provided in common areas, not less than 1; and
    2. in every sole-occupancy unit required by SA D4D2(4) to be accessible, not less than 1.
  3. For Class 3 and 9c buildings—
    1. in every accessible sole-occupancy unit provided with showers within the accessible sole-occupancy unit, not less than 1; and
    2. 1 for every 10 showers or part thereof provided in common areas.
  4. For Class 5, 6, 7, 8 or 9 buildings, where F4D4 requires 1 or more showers, not less than 1 for every 10 showers or part thereof.
  5. For a Class 10a building, where showers are provided, 1 for every 10 showers or part thereof.

(2) The requirements of (1)(d) do not apply within a ward area of a Class 9a health-care building.

(3) The requirements of (1)(e) do not apply to—

  1. a Class 10a appurtenant to another class of building; and
  2. a sanitary compartment dedicated to a single caravan/camping site.

To specify the minimum acceptable sanitary and bathing facilities required for people with a disability in Class 1b, Class 2, Class 3, Class 5-9 and Class 10a buildings.

Section D requires equitable and dignified access to buildings and the services they provide. Section D and Part F4 are also intended to apply inclusively to people with a disability (see F4P1). Not only must people with a disability be able to access a building’s sanitary facilities, those facilities must be usable by them.

F4D5(a) and (b) refer to F4D6 and F4D7 respectively to determine the numbers of accessible sanitary facilities, and AS 1428.1 for details of the design of accessible facilities. Facilities such as wash basins, a shelf or bench top and adequate means of disposing of sanitary products must be inside the accessible unisex sanitary compartment and not outside in a public area. F4D5 also requires sanitary compartments suitable for use by a person with an ambulant disability to be provided in certain circumstances, in addition to compartments for use by a person using a wheelchair. Where two or more of each type of unisex accessible sanitary facilities are provided in a building, the number of left and right handed mirror image facilities must be provided as evenly as possible. This is required because some people transfer from their wheelchairs from the right hand side and some from the left.

F4D6 provides minimum requirements for the provision of accessible unisex sanitary compartments, commonly referred to as unisex accessible toilets. Unisex accessible sanitary compartments are required on each storey where sanitary compartments are provided. If the male or female compartments are located separately and not in a single bank then the accessible unisex sanitary compartment is only required at one of those banks. However, clear directional information about the location of the closest accessible unisex sanitary compartment must be provided. If there are multiple banks containing male and femalesanitary compartments on a storey, there must be an accessible unisex sanitary compartment at not less than 50% of those banks.

F4D7 provides minimum requirements for the provision of accessible unisex shower facilities in buildings where showers are required (by the NCC) to be provided.

F4D5(e) requires that facilities be constructed in accordance with AS1428.1. It is important to note that AS1428.1 contains provisions for both wheelchair accessible facilities and those for people with an ambulant disability. These provisions include:

  • grabrails;
  • circulation space;
  • access door width and swing;
  • height of fixtures;
  • lever handles for taps; and
  • space under the front of basins.

A sanitary compartment that is suitable for a person with an ambulant disability is not intended for use by a person using a wheelchair. Therefore an accessible path of travel need not be provided to such a compartment.

(1) Other than in an early childhood centre, sanitary compartments must have doors and partitions that separate adjacent compartments and extend—

  1. from floor level to the ceiling in the case of a unisex facility; or
  2. to a height of not less than 1.5 m above the floor if primary school children are the principal users; or
  3. 1.8 m above the floor in all other cases.

(2) Unless there is a clear space of at least 1.2 m, measured in accordance with Figure F4D8, between the closet pan within the sanitary compartment and the doorway, the door to a fully enclosed sanitary compartment must—

  1. open outwards; or
  2. slide; or
  3. be readily removable from the outside of the sanitary compartment.

(3) In an early childhood centre, facilities for use by children must have each sanitary compartment screened by a partition which, except for the doorway, is opaque for a height of at least 900 mm but not more than 1200 mm above the floor level.

VIC F4D8 Construction of sanitary compartments2019: F2.5

Delete subclause F4D8(3) and insert F4D8(3) as follows:

(3) In an early childhood centre, other than a restricted children’s service, closet pans situated in a group for use by children must be separated from one another by means of a partition, which, except for the doorway, is opaque for a height of not less than 900 mm but not more than 1200 mm above the floor.

Figure F4D8 Construction of sanitary compartments
image-F4D8-construction-of-sanitary-compartments.svg

To specify the construction expected to provide an acceptable level of privacy in sanitary compartments while facilitating assistance in an emergency.

F4D8 Construction of sanitary compartments

Privacy in sanitary compartments is considered an amenity issue. There is a high level of privacy expected in unisex compartments while there are lower levels expected in early-childhood centres and facilities used by primary school children. There is also an intermediate level expected between sanitary compartments in single-sex sanitary facilities.

F4D8 permits sanitary compartments in early childhood centres to be constructed without doors because it is necessary for staff to keep the children under regular observation. Under F4D8(1)(b), a concession is also provided on the height of partitions for facilities used by primary school children. These concessions in F4D8 should not be applied to staff facilities.

F4D8(2) requires means of removing an unconscious occupant from a fully enclosed sanitary compartment. If the enclosure has gaps that are large enough to allow access for a person into the sanitary compartment, the compartment is not intended to be considered enclosed for the purposes of this clause.

The exception to F4D8(2) is where there is a clear space of at least 1.2 m between the closet pan and the doorway, as measured in accordance with Figure F4D8 in the BCA.

Requirements for partitions between sanitary compartments for early-childhood centres is covered by F4D8(3). A partition must be opaque for a height of at least 900 mm but not more than 1200 mm, above the floor level, while the section above the partition may be open or clear glazed.

(1) A urinal may be—

  1. an individual stall or wall-hung urinal; or
  2. each 600 mm length of a continuous urinal trough; or
  3. a closet pan used in place of a urinal.

(2) A washbasin may be—

  1. an individual basin; or
  2. a part of a hand washing trough served by a single water tap.

F4D9 Interpretation: Urinals and washbasins

Information

To clarify what is meant by the expressions ‘urinal’ and ‘washbasin’.

Urinals and hand-washing facilities are often not constructed as single units, but as a length of trough. F4D9(1) and (2) clarify that the words ‘urinal’ and ‘washbasin’ apply to individual facilities, or to a length of trough, in the case of a urinal; and a specific part of a hand-washing trough. The number of hand-washing facilities (washbasins) provided by a trough is determined be the number of water spouts serving the trough.

F4D9(1)(c) allows a closet pan (also called a ‘toilet pan’ or ‘closet fixture’) to be used in place of a urinal. Such a closet pan must be additional to the required number of closet pans, and so must not be counted once as a urinal and once as a pan when calculating the total number of facilities.

NCC Title
Microbial (legionella) control
NCC State
NSW
NCC Variation Type
Deletion
NCC SPTC Current
Microbial (legionella) control
NCC Notice
F4D10 does not apply in NSW as the installation of hot water, warm water and cooling water systems (and their operation and maintenance) is regulated in the Public Health Regulation 2012, under the Public Health Act 2010.

Hot water, warm water and cooling water systems in a building other than a system serving only a single sole-occupancy unit in a Class 2 or 3 building or Class 4 part of a building must be installed in accordance with AS/NZS 3666.1.

To make sure that hot water, warm water and cooling water systems in certain facilities minimise the risk of a major disease outbreak.

F4D10 Microbial (legionella) control

Legionella and other dangerous bacteria may multiply in hot water, warm water and cooling water systems to numbers that can cause serious outbreaks.  AS/NZS 3666.1, referenced by F4D10, contains measures for designing, installing and commissioning hot water, warm water and cooling water systems, aimed at minimising the risk of a major disease outbreak.

This provision applies to all buildings except systems that only serve a single sole-occupancy unit in Class 2 or 3 building or Class 4 part. This limitation is consistent with the intent of AS/NZS 3666.1 and the limitation of F4P6.

(1) In a Class 9a health-care building, at least one slop-hopper or other device, other than a water closet pan or urinal, must be provided—

  1. on any storey containing ward areas or bedrooms to facilitate emptying of containers of sewage or dirty water; and
  2. with a flushing apparatus, tap and grating.

(2) In a Class 9c building, the following facilities must be provided for every 60 beds or part thereof on each storey containing resident use areas:

  1. One slop-hopper or other device other than a water closet pan or urinal for the safe handling and disposal of liquid and solid wastes with a flushing apparatus, tap and grating.
  2. An appliance for the disinfection of pans or an adequate means to dispose of receptacles.

To require adequate devices in Class 9a and 9c buildings containing ward areas or bedrooms for the emptying of containers of sewage and dirty water.

F4D11 Waste management

Class 9a buildings, such as hospitals and nursing homes, are likely to be occupied by people who can only carry out their toilet and bathing functions in commode chairs or into containers. To minimise disease, F4D11(1) requires slop-hoppers. These are special fixtures with a grate, flushing apparatus and tap which are used for emptying bedpans and the like.

Aged care buildings are likely to be occupied by people with similar difficulties to those occupying Class 9a buildings. To minimise disease, F4D11(2) requires the installation of slop-hoppers and appliances for either disinfecting pans or an adequate means for disposal of receptacles in Class 9c buildings. If one device can undertake all tasks required by F4D11(2), then it may be utilised.

(1) One unisex accessible adult change facility must be provided in an accessible part of a—

  1. Class 6 building that is a shopping centre having a design occupancy of not less than 3,500 people, calculated on the basis of the floor area and containing a minimum of 2 sole-occupancy units; and
  2. Class 9b sports venue or the like that—
    1. has a design occupancy of not less than 35,000 spectators; or
    2. contains a swimming pool that has a perimeter of not less than 70 m and that is required by D4D2 to be accessible; and
  3. museum, art gallery or the like having a design occupancy of not less than 1,500 patrons; and
  4. theatre or the like having a design occupancy of not less than 1,500 patrons; and
  5. passenger use area of an airport terminal building within an airport that accepts domestic and/or international flights that are public transport services as defined in the Disability Standards for Accessible Public Transport 2002.

(2) Accessible adult change facilities required by (1)—

  1. must be constructed in accordance with Specification 27; and
  2. cannot be combined with another sanitary compartment.

(3) For the purposes of (1), design occupancy must be calculated in accordance with D2D18, but excluding any area that—

  1. can only be accessed by staff, employees, contractors, maintenance personnel and the like; or
  2. is subject to an exemption under D4D5.

To provide for the installation of accessible adult change facilities in certain types of public building.

F4D12 Accessible adult change facilities

An accessible adult change facility is a type of sanitary compartment that includes a hoist and adult size change table in addition to a peninsula-type toilet pan and other fixtures and fittings. Its purpose is to provide a suitable toilet for people with more complex or profound disability who may be unable to use standard accessible toilets of the type required by F4D5 and F4D6.

F4D12(2)(a) requires each accessible adult change facility to be constructed in accordance with Specification 27, which sets out the technical requirements for these facilities.

F4D12(1)(b) ensures that accessible adult change facilities are provided separately and in addition to any other sanitary compartment. Therefore, they cannot be counted when determining compliance with F4D4F4D5 or F4D6.

F4D12(2) sets out the types of public building where an accessible adult change facility must be provided. F4D12(1)(a), (b)(i), (c) and (d) are based on design occupancy which must be calculated in accordance with F4D12(3).

F4D12(1)(b)(ii) ensures that where a swimming pool in a Class 9b building is required to be accessible, it is provided with an accessible adult change facility.

F4D12(1)(e) ensures that accessible adult change facilities are provided in terminal buildings at airports. This provision only applies to airports that are also required to comply with the Disability Standards for Accessible Public Transport 2002.

F4D12(3) outlines how design occupancy must be calculated, and provides for certain areas to be excluded from such a calculation. The purpose of the exclusions is to ensure that buildings are assessed only on the basis of areas likely to be used by people with disability, thus ensuring consistent application of F4D12 between different building layouts and sizes.

NCC Blurbs

(1) If an assembly building, place of public entertainment (as defined in the Building Act 1993) or an open spectator stand accommodates more than 5000 spectators at an arena, sportsground, showground, racecourse, cricket ground, football ground, coursing ground, motor racing arena, or the like, a suitable room or rooms must be provided in accordance with VIC Table F4D13 for use by para-medical attendants for first aid purposes.

(2) First aid rooms required by (1) must—

  1. be distributed as uniformly as possible throughout the assembly building or open spectator stand; and
  2. be convenient to a public road; and
  3. be readily accessible from within and outside the arena or ground; and
  4. have a floor area of not less than 24 m2; and
  5. be provided with a suitable wash basin or sink.
Insert VIC table (F4D13) F4D13 as follows:
VIC Table F4D13: First aid rooms
Spectator capacity Number of first aid rooms
5,001 to 10,000 1
10,001 to 15,000 2
15,001 to 30,000 3
Each extra 15,000 or part thereof 1
NCC Title
First aid rooms
NCC State
VIC
NCC Variation Type
Insertion
NCC SPTC Current
First aid rooms
NCC Blurbs

Non-flushed urinals not connected to a sewerage system must comply with TAS F4D14.

NCC Title
Non-flushed urinals
NCC State
TAS
NCC Variation Type
Insertion
NCC SPTC Current
Non-flushed urinals
NCC Blurbs

(1) If a sufficient sewerage system is not available, an authorised alternative means of disposal of sewage may be installed.

(2) If sanitary facilities are not water-flushed, the following provisions apply:

  1. A pit latrine, an incinerating toilet, a chemical toilet, a removable pan or a non-flushing urinal must not be within 2 m of a building containing habitable rooms.
  2. The floor on which a removable pan is placed must be impervious.
  3. A room containing a composting toilet must be separated from habitable rooms by way of a permanently ventilated air lock (which may be a circulation space).
  4. The minimum ventilation required under (c) shall be the greater of—
    1. 8000 mm2; or
    2. 1/500th of the floor area of the circulation space.
  5. Access for maintenance or removal of waste from a composting toilet must be by way of an access door which opens directly to the outside of the building.
NCC Title
Installation of closet fixtures
NCC State
TAS
NCC Variation Type
Insertion
NCC SPTC Current
Installation of closet fixtures

Explanatory information: Cross-volume considerations

NCC Volume Three contains a number of plumbing and drainage provisions which are relevant to facilities. These include, but are not limited to, those listed in Table F4.

Table F4 Cross-volume considerations
Item NCC Volume Three - Plumbing Code of Australia
Access for maintenance of plumbing and drainage B1 Cold water services
B2 Heated water services
B3 Non-drinking water services
C1 Sanitary plumbing systems
C2 Sanitary drainage systems
C3 On-site wastewater management
Heated water temperature control for facilities used for personal hygiene B2 Heated water services